相关内容
-
球形粉体传统物理法制备技术及特点
球形粉体传统物理法制备技术主要包括机械整形法、喷雾干燥法等。1、机械整形法机械整形法主要是通过机械作用产生的碰撞、摩擦和剪切等一系列作用力对颗粒进行塑性变形以及颗粒吸附,持续加工后,颗粒变得更加密实,颗粒上尖锐的棱角在冲击力的作用下受到不断研磨逐渐变得光滑圆整。机械整形法通过高速冲击式磨机、介质搅拌磨等粉碎设备制备相应的微细粉体材料,再结合干法和湿法研磨,制备出粒度较细、粒度分布较窄、具有一定球化率的粉体材料。机械整形法在天然石墨、人造石墨和水泥颗粒等球化整形处理领域应用较为广泛,也适合脆性金属或合金粉体的破碎制粉。
-
高纯超细氧化铝粉体制备技术及高端应用领域
高纯超细氧化铝粉体一般指代纯度在4N(99.99%)及以上、颗粒直径(D50)≤1.0µm的氧化铝粉体。氧化铝粉体超细微化后,其表面电子结构和晶体结构都发生了变化,产生了宏观物体所不具有的表面效应、小尺寸效应、量子效应和宏观量子隧道效应、集成电路芯片、航空光源器件等方面得到了广泛的应用。大规模工业生产的高纯超细氧化铝粉体多出自美、日、欧等国大型国际企业。目前,日本已形成以住友化学工业公司、昭和电工公司、昭和轻金属、新日本化学工业、日本轻金属公司、日立化学、大明化学等为核心的高端氧化铝粉体生产企业和以三菱、索尼、松下等为核心的下游应用企业。
-
多种陶瓷粉体大赏!你都知道哪些?
先进陶瓷具有优异的力学、声、光、热、电、生物等特性,在航空航天、电子信息、生物医药、高端装备制造等高端科技领域随处可见。其种类繁多,不同成分的陶瓷各具特色,例如氧化铝陶瓷的抗氧化性、氮化硅陶瓷的高强度及耐电腐蚀性、氧化锆陶瓷的高韧性及生物相容性等等。
-
粉体的流动性如何影响压缩性?
粉体的流动性与其压缩性之间存在密切的相互作用,这种关系主要通过颗粒间的相互作用力、堆积结构和变形机制体现。以下是流动性影响压缩性的关键机制及影响因素的分析:
一文了解陶瓷粉体的制备
对于先进陶瓷材料而言,其所用粉体原料都是人工精选的材料,粉体的制取工艺通常,会包括物理方法或化学方法。不同制备方法适用于不同应用范畴及材料。下文将对部分粉体材料的制备方法进行一个简要的介绍。
共沉淀法

水解沉淀法


水热法

溶胶-凝胶法


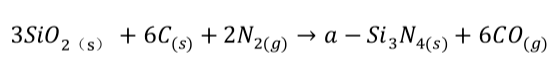
1、硅粉氮化法

2、二酰亚胺合成法

3、碳热还原法

4、等离子法


2026上海国际粉体加工与处理展览会 将于3月24-26日在国家会展中心(上海)盛大开幕,该展会是粉体技术装备的国际化贸易交流与推广展示平台,通过同期举办的针对下游应用领域的会议论坛和相关活动,推动国内外粉体加工设备和产品的上下游产业的面对面交流,促进粉体工业相关垂直和横向领域的市场繁荣。
同期联动粉末冶金展、先进陶瓷展、磁性材料、增材制造展,构建五展联动矩阵,总规模可覆盖55,000㎡超大展区,达到80,000+人次专业观众。展会将携手1,000+家 中外名企,打造新材料与先进制造领域前所未有的资源整合平台,串联相关产业链,连接更多上下游企业,吸引更广泛的观众群体,重构产业生态,精准触达全产业链资源。切实满足参展商与采购方的多元化需求,推动材料产业生态的协同创新与高质量发展。
智启新程,共塑未来
距离
2026上海国际粉体加工与处理展览会
!!开幕仅剩25天!!
专业观众免费领票通道截止至3月23日晚24时
立刻扫码,共赴先进制造之约

声 明:文章内容来源于材料科学与工程技术。仅作分享,不代表本号立场;图片非商业用途。如有侵权,请联系小编删除,谢谢!
732225485





沪公网安备31011802005014